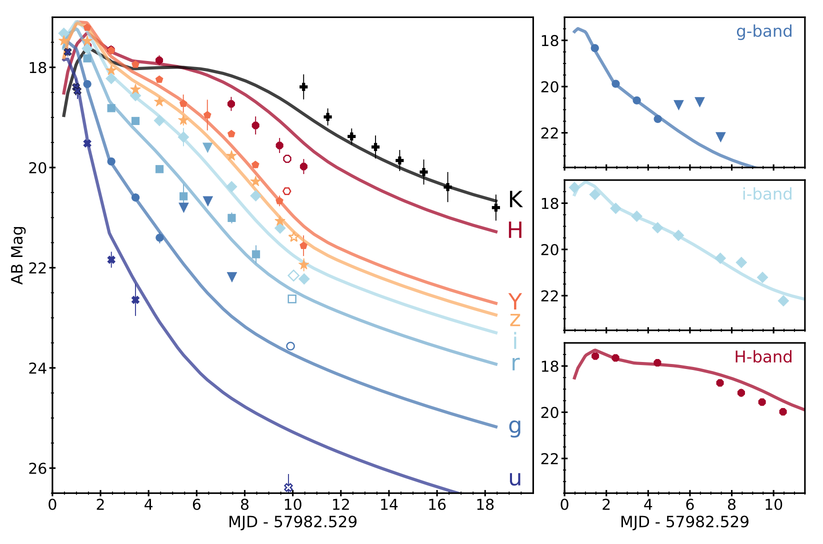
Cowperthwaite_keyfig October 13, 2017 | yanny Previous Next UV, optical, and NIR Light curves of the counterpart of GW170817. The two-component model for r-process heating and opacities (Section 4) is shown as solid lines. Triangles represent 3σ upper limits. Error bars are given at the 1σ level.